
Решения задач задания № 3:
Если число a1b1c1 отлично от нуля, то оно обладает следующими свойствами:
b1 = 9;
a1b1c1 делится на 9.
Поэтому a1b1c1 – одно из чисел 99, 198, 297, 396, 495, 594, 693, 792, 891, 990. Остаётся заметить, что 594 → 99 → 891 → 693 → 297 → 495.
и 3 табуретки.
= n + [n+r/10], то есть 10 ≤ n + r < 20, 10 – r ≤ n ≤ 19 – r. Для каждого r от 0 до 10 получаем 10 решений.
Ответ: 110 решений.
Новое задание:

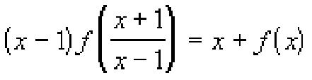
Найдите f(–1).
Решите неравенство: [x]•{x} <x – 1.
Существуют ли такие иррациональные числа a и b, что степень ab - число рациональное?
Подсказка. В качестве a можно взять корень из натурального числа.
От редакции: Редакция газеты «Обзор», предлагая своим читателям данные «уроки математики», хотела бы помочь нынешним старшеклассникам в большей степени освоить эту область знаний. Тем более что в последние годы министерство образования неоднократно указывало на то, что школьники в Литве знают математику, мягко говоря, неважно.
Но насколько предлагаемый ныне газетой математический курс всё же интересен сегодняшним старшеклассникам или хотя бы их учителям?
Какой вариант более востребован – бумажный или всё же тот, что по воскресеньям, после выхода очередного номера газеты, публикуется на сайте www.obzor.lt?
Что пригодилось вам, а что нет?
Свои комментарии и предложения вы можете отправлять в редакцию в любом удобном для вас виде: по электронной почте info@obzor.lt, как комментарий под публикациями на сайте или по телефону (+370 5) 275 31 53.