
Решения задач прошлого задания:
(a +1)(b +1) = 2021, (a+1) (b+1) = 43 47,
(a +1)=43, (b+1) =47 или (a+1) =47, (b+1) =43).
(а) Сначала выбираем три места из восьми для расположения троек

(способов), затем – три места из пяти оставшихся для размещения пятёрок (способов). Наконец, оставшиеся места занимают единицы.
По правилу произведения выходит

(б) Рассуждая аналогично, находим, что количество способов в этом случае

Окончательно получаем 560 + 1120 = 1680 способов.

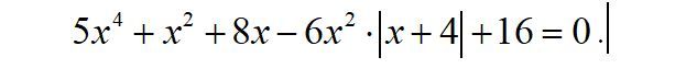
Новое задание:

