
Решения задач прошлого задания:
Ответ: Поровну.
Ответ: На 432 части.
3. Ответ: 9•55 чисел.
4. Ответ: 3 ожерелья.
M ≤ 3∙5!=360, следовательно a≤3. Легко проверить, что в случаях a=2 или a=3 уравнение (1) не выполняется, следовательно a=1. В этом случае b=5 не подходит, следовательно c=5. Для нахождения c рассматриваем уравнение
1b5=121+b!, которое имеет решение b=4.
Ответ: 145.
Новое задание:
Пара натуральных чисел (а, b) удовлетворяет уравнению ab + а + b = 2020. Найдите все возможные значения суммы a+b.
Найдите количество восьмизначных чисел, произведение цифр каждого из которых равно 3375.
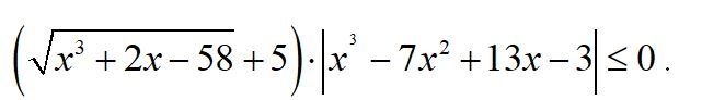
Решите неравенство
